基本不等式这个小考点的重要性不用多说。
今天直接给大家归纳一些常见结论、题型及其解题技巧!
常考结论及其公式
结论一:基本不等式与最值

结论二:基本不等式的几个相关结论
结论三:常数代换法求最值的步骤及通法
(1)常数代换法求最值的步骤:
①根据已知条件或其变形确定定值(常数);
②把确定的定值(常数)变形为1;
③把“1”的表达式与所求最值的表达式相乘或相除,进而构造和或积为定值的形式;
④利用基本不等式求解最值.
(2)常数代换法求最值适用的题型及解题通法:
重难点题型归纳与精讲
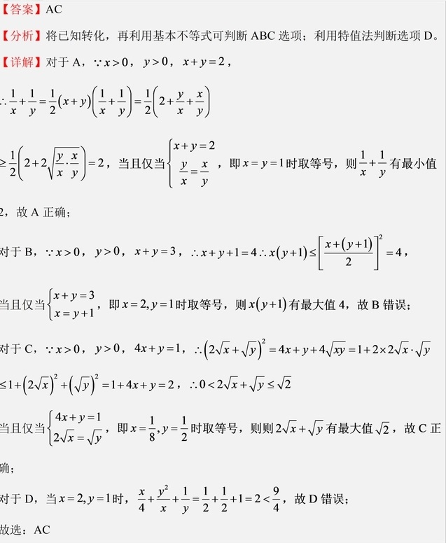
题型一 利用基本不等式比较大小
总结:本题主要考查用重要不等式证明不等式,应用不等式性质判断不等式是否成立,属于中档题.
题型二 基本不等式常见结论的基本运用
总结:这类题型主要直接利用基本不等式或者相关的几个小结论来直接解题,属于基本题型。
题型三 利用构造法转化为基本不等式求最值
总结:这道例题主要考查了基本不等式,考查了学生的计算能力,正确运用基本不等式是关键,属于比较难得题目.
题型四 换元法或消元法构造基本不等式求最值
总结:对于换元法或者利用消元法来构造基本不等式的题型属于较难的题型,难度较大,尤其是换元法,往往同学们不知道从何入手,涉及到多变量的不等式。
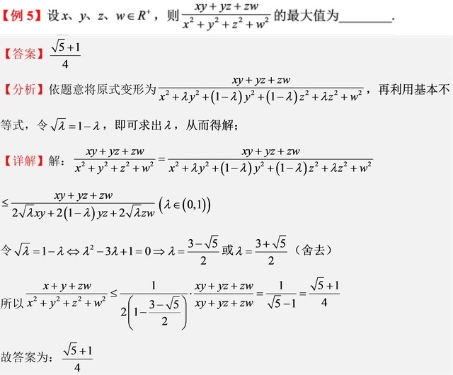
题型五 复杂的基本不等式综合运用
总结:这类题型综合性较强,往往题目的形式与特征较为复杂且不太常见,对于大多数同学们来说比较新颖。
题型六 利用基本不等式证明不等式
总结:这类证明问题也是比较重要的,它的存在形式可以暗藏于多选题目中,难度较大,请同学们多加小心!
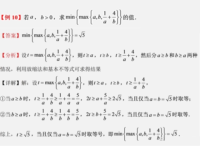
题型七 基本不等式连续使用问题
总结:用基本不等式求最值时,要注意其必须满足的三个条件:
(1)“一正二定三相等”“一正”就是各项必须为正数;
(2)“二定”就是要求和的最小值,必须把构成和的二项之积转化成定值;要求积的最大值,则必须把构成积的因式的和转化成定值;
(3)“三相等”是利用基本不等式求最值时,必须验证等号成立的条件,若不能取等号则这个定值就不是所求的最值,这也是最容易发生错误的地方,注意多次运用不等式,等号成立条件是否一致.
题型八 利用基本不等式解决恒成立问题
总结:不等式的恒成立问题是高考数学的重难点,有些时候不等式的恒成立问题可以通过分离变量法转化为一端的代数式求最值问题,部分题目就有可能会用到基本不等式求最值。
题型九 基本不等式实际应用问题
总结:同学们在求实际应用问题时,一定要多加注意变量在具体实际问题背景中的范围。注意基本不等式应用的三个条件!
题型十 基本不等式的创新问题
总结:这类问题创新性非常强,灵活多变,不易把握,但是有利于同学应对每年高考中的创新问题,值得大家重视和多多训练!
最后,同学根据总结的这十大题型,多多反思,相信通过一定的专项训练,你一定会早日掌握基本不等式这个重难点的。